直到目前为止,还没有一款完全理想的、适合于锂电池的电解质。如今最常用的还是有机电解液,因为其具有高的离子电导率和较宽的温度使用范围。由于其本身容易着火,引发安全事故,所以新型电解质的开发势在必行。开发新型电解质需要一套可靠的理论来支持,但是由于电解液涉及了较多的影响因素(例如粘度,盐浓度,溶解,离子缔合和离子-溶剂相互作用)对于离子的迁移机制还不甚清楚。那么,在有机电解液、固态电解质以及离子液体电解质中,锂离子是如何迁移的呢?
一、有机电解液
如图1中所示,电解液在锂电池内部起到一个载体作用,其在正负极材料之间为离子传输提供了传输路径。简单以充电过程举例,Li+从正极活性物质中脱出,正极固相颗粒表面Li+浓度降低,使颗粒内部与表面间出现浓度差异,致使Li+产生颗粒由内向外的固相扩散。同时由颗粒表面电化学反应生成的Li+进入电解液中,溶液相中界面区域的局部浓度提高,使溶液相内部产生浓度差异,导致Li+产生从内向外的扩散与迁移。而在负极区域,由于负极颗粒与电解液中的Li+发生电化学反应,消耗了溶液相中的Li+,使溶液相局部Li+浓度降低,产生浓度差异,导致Li+在溶液相中产生由外向内的扩散与迁移。
同时在负极颗粒表面发生电化学反应,嵌入Li+,使颗粒内部出现浓度差异,导致Li+在颗粒内部产生从外向内的固相扩散。在隔膜处,由于正极与负极过程导致的浓度差异,导致该区域的Li+产生从正极到负极的扩散与迁移,放电过程则与上述过程相反。由上述过程可知,锂电池的正常、高效运转,主要决定于锂离子在电池内部的迁移情况。锂离子的迁移情况受到电解液的性质的制约,电解液的性质主要是由以下要素影响的。

1.锂盐溶解
电解液由溶质和溶剂组成,溶质一般选用LiPF6溶剂一般选用多种有机溶剂相组合的液体。当把LiPF6溶入溶剂中后,就形成了锂离子和PF6?负离子。锂盐的溶解与溶剂的介电常数密切相关,介电常数越大对锂盐的溶解能力就越强。当锂离子被溶剂分子完全包围后,负离子对锂离子的影响减弱,就发生了所谓的溶解。对于锂盐而言,阴离子越大越有利于电解液的离子导电性及其自身的溶解,这是因为阴离子越大,越容易分散其负电荷并能防止阳离子的配对。
2.电解液粘度
电解液的粘度会对离子的移动产生重要影响,粘度越低越有利于离子的移动。

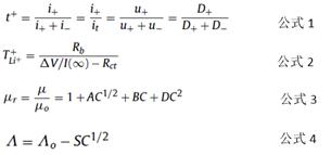
正如以上所述的,锂离子在电极液的溶解作用和粘度影响下进行运输和转移。公式1中t+为运输数目,i+和i-分别代表阳离子和阴离子所形成的电流,it代表总电流,u±代表阴阳离子的移动性,D±代表阴阳离子的扩散系数。
实际上,离子阻力不仅跟阴阳离子有关,也跟溶剂有一定关系。离子迁移数目可以用以公式2来表示:
其中,TLi++代表锂离子迁移数目,△V是极化电压,I(∞)是极化后的稳态电流,Rb和Rct是体电阻和充电转移电阻。
单相溶剂系统的电解液很难既有高的电导率又有低的粘度,因此常用的电解液溶剂采用多种溶剂复配的方式来配制,比如二元的电解液我们是这样配制的m(锂盐)+(1-w)(溶剂A)+w(溶剂B),锂盐m单位一般是质量摩尔浓度,mol/kg,w是溶剂的质量分数。对于单元电解液,并没有可靠的理论来预测电解液的粘度和离子电导率。Jones–Dole(JD)和Debye–Hückel–Onsager(DHO)曾经提出过两个经验公式分别是公式3和公式4:
其中,μr是相对粘度,μ是溶液粘度,μ0是纯溶剂粘度,C是锂盐浓度,A、B、D是系数,Λ是摩尔电导率,Λ0是在无限稀释状态下的摩尔电导率,S是受溶剂物理性质和电解质性质影响的参数,C是溶质浓度。如果锂盐和溶剂的种类变化之后,经验公式也需要进行修改。对于混合体系电解液来说,公式会更加复杂。
所以,当配置新的多元复配电解液时,电解液的性能需要试验来测定,而无法进行预先估测。虽然离子电导率对于电池性能影响很大,但是其它因素例如SEI的形成和性能也是非常关键的因素,电解液在高倍率下的稳定性、毒性等也应该考虑到。总之,一切与实际生产应用有关的因素都要考虑,然后才考虑离子电导率参数。
二、固态电解质
固态电解质与液体有机电解液相比用于锂电池后具有更大的优势,例如设计简单、封装方便、抗冲击抗震动性能好、耐温度和压力性能好、电化学稳定性和范围广、安全性好等。然而,固态电解质的离子导电性相对还较受限制。一般来说,固态电解质可以分为凝胶型聚合物、无溶剂聚合物、无机晶体化合物、无机玻璃态物质等。在无机晶体化合物内部,锂离子的传导是因为移动离子在周围电位的能量有利位点之间跳跃形成的,周围离子的运动为移动离子提供激活能量以促使其通过晶体结构中的通道。
聚合物电解质的离子传输机制与无机晶体化合物和液态电解液的传输机制不同。在无溶剂的聚合物电解质中,离子迁移率受聚合物主体材料运动的影响。离子仅在聚合物链段经历与玻璃化转变温度(Tg)有关的相当大振幅运动时才移动。聚合物电解质在高于玻璃转变温度Tg时才表现出快的离子电导率,此时聚合物电解质主要由非晶相构成。因此,低玻璃转变温度Tg的聚合物如PEO(Tg-50至-57℃)已成为无溶剂电解质的重要聚合物主体,并且正在研究该聚合物的非晶化作为增加其离子电导率的方式。由于低分子量溶剂在聚合物中的扩散以及聚合物链段的运动,凝胶型聚合物电解质表现出比无溶剂电解质更快的离子传导。

以PEO为例,该类聚合物的电解质传输机制如上图所示,通电以后,聚合物中非晶部分的链段运动导致Li+的“解络合—再络合”过程的反复进行而促使离子实现快速迁移。
在半导体工业中开发的基于薄膜技术的固体电解质已经作为固态微电池的关键组件被深入研究。由于合成时间长和制造过程中的高温条件需求,为微电池开发的大多数晶态和玻璃态电解质的成本太高。除了这些缺点之外,用于固态电解质的无机材料通常含有昂贵的金属,如Ge,Ti,Sc,In,Lu,La和Y等。由于放大和应用大多数固态电解质时遇到的困难,仅凝胶型聚合物电解质在商业上取得成功。
三、离子液体电解质
另一类被认为是电解质的材料是离子液体。离子液体的定义目前尚不明确,一般认为它是完全由阳离子和阴离子组成的液体,在室温或室温附近呈现为液态的有机盐类。离子液体具有独特的性质,包括不可燃性,低蒸气压,高热稳定性,良好的电化学稳定性,低毒性和高离子含量等。
通常,将离子液体分为AlCl3型离子液体、非AlCl3型离子液体和特殊离子液体三类。各种离子液体的理化性质都可以在相关文献中找到。总体而言,离子液体的粘度比液态电解质高一至两个数量级,因此离子电导率比液体电解质的离子电导率低三至四个数量级。华登定律通常用于离子液体的电导率和粘度之间的关系,表达如下:
λi是离子种类i的离子电导率,μ是粘度。
因为粘度很大程度上取决于这些影响因素之间的相互作用,例如范德华相互作用,构象自由度,库仑力和离子形状等,科研人员在研究离子液体中离子物质之间的相互作用上已经付出了很多努力。除了低离子电导率之外,离子液体电解质的应用也不太可能在碳负极材料上形成SEI层,导致循环中的Li离子耗尽。所以,在许多情况下,离子液体需要辅助添加剂以用来作电解质。




