随着新能源汽车补贴的退坡,国内电池企业对动力电池高能量密度的疯劲似乎有所减缓。早被打入冷宫、不受待见的电池安全工程师又重新得到的皇上的召见,此刻正跪在殿外侯旨,而殿内正极、负极、电解液、隔膜、工艺、生产制造五位资深阁老正和皇上相谈甚欢,笑声飘的很远、很远。“正极、负极、隔膜生产制造四位阁老世受皇恩,同皇族利益深度绑定,在朝中骄横跋扈多年,从这四位入手改善电池安全自然是难度极大的。电解液和工艺二位阁老虽然位高权重,但性格相对温和,平时还可以同他们交流几句,改善电池安全只能暂时从这两位身上想办法了。具体该怎么实施呢?”跪在殿外的电池安全工程师正眉头紧锁进行深思,脑海中推演各种可能的方案。在兼顾电池电化学性能的条件下改善电池安全是件不容易的事。锂离子电池易燃易爆的原因之一在于其使用了大量的易燃电解液。在追求电池能量密度的背景下,改变正极、负极和隔膜空间很小,存在较大改变可能的只属电解液了。虽然失败的例子数不胜数,但创新性的想法和实践还是必须的。
最近,中科院宁波材料所刘兆平研究员课题组的研究显示在常规电解液中添加硅烷-Al2O3不仅可以提升电池的循环、倍率等电化学性能,还能有效改善电池的安全性,成果已Hybridelectrolytesincorporatedwithdandelion-likesilane-Al2O3nanoparticlesforhigh-safetyhigh-voltagelithiumionbatteries为题发表在JournalofPowerSources上。

图1.常规电解液、5%硅烷-Al2O3混合电解液(SSE-5)和10%硅烷-Al2O3混合电解液(SSE-10)性能对比。
混合电解液的制备方法很简单,向常规电解液中直接混入一定浓度的硅烷-Al2O3即可。硅烷-Al2O3是商业化的产品,可以直接购买到,表面的烷基化处理可以提高Al2O3在电解液中的分散度。如图1a所示,当硅烷-Al2O3添加量为5%时混合电解液呈浆料装,添加量为10%时电解液呈半固态状。电解液的离子电导率和锂离子的离子迁移数是电解液的两项重要指标。如图1c所示,得益于Al2O3是路易斯酸有助于LiPF6解离,混合电解液的锂离子迁移数是常规电解液的两倍多。如图1d所示,三种电解液的离子电导率均随温度上升而增加,SSE-5的离子电导率同常规电解液几乎相同,SSE-10略有降低。

图2.常规电解液、SSE-5和SSE-10三种电解液的自熄灭值对比。
前文提到过,电解液中添加硅烷-Al2O3的主要目的是提升电池的安全性。在确认三种电解液的电化学稳定性后,作者对电解液的自熄灭值进行了对比研究。如图2所示,常规电解液、SSE-5和SSE-10的自熄灭值分别为84.12s/g、26.94s/g和17.36s/g,意味着SSE-5和SSE-10两种混合电解液的可燃性较常规电解液分别降低了68%和79%,可被认为是阻燃电解液。对于SSE-5和SSE-10具有阻燃效果的原因,作者认为是Al2O3表面的烷基热分解产生的SiO2起到了隔热的效果,通过本身具有高度热稳定性的Al2O3对隔热也有贡献。

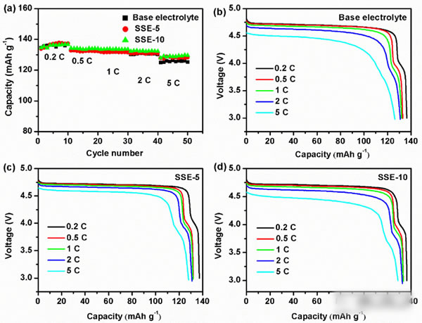
图3.LiNi0.5Mn1.5O4/Li扣电分别使用常规电解液、SSE-5和SSE-10的循环性能对比。

图4.LiNi0.5Mn1.5O4/Li扣电分别使用常规电解液、SSE-5和SSE-10的倍率性能对比。
LiNi0.5Mn1.5O4/Li扣电分别使用常规电解液、SSE-5和SSE-10在3-5V区间的放电克容量分别为126.7mAh/g,126.9mAh/g和127.4mAh/g,循环200周容量保持率分别为98.2%、98.6%和99.1%。从以上电化学性能结果不难看出电解液中烷基-Al2O3的加入不仅没有恶化电池的电化学性能,反而起到了促进作用。从倍率结果看,SSE-5和SSE-10的性能也由于常规电解液。如图4所示,0.2C、0.5C、1C、2C和5C放电倍率下使用常规电解液和SSE-10混合电解液的放电可容量分别为136.3、132.9、131.9、130.6、125.6mAh/g和136.5、134.0、133.6,132.4and129.1mAh/g。对于使用SSE-5和SSE-10电池电化学性能由于使用常规电解液的原因作者没有太多解释,但前段时间JeffDahn的研究显示Al2O3能同LiPF6反应生成LiPO2F2进而提升电池性能,本工作是将Al2O3直接分散在电解液中,应该也有类似的效果。

图5.3AhNCM622/石墨电池分别使用常规电解液和SSE-10电解液针刺结果对比。
为了凸显电解液中添加烷基-Al2O3对电池安全性的改善,作者特意制作了3AhNCM622/石墨体系的小软包电池,并进行了针刺实验。如图5和视频所示,使用常规电解液的电池针刺时电压迅速下降,电池发生明显鼓胀向外喷射火星并冒出大量浓烟;而使用SSE-10的电池针刺过程电压仅有轻微的降低,并且外观上看电池毫发无损、未出现鼓胀现象。从以上对比不难看出,SSE-10电解液的使用确实显著提升了电池的安全性能,尤其是在恶劣内短路情形下的安全表现。
小结:电解液中添加无机材料改善电池安全性虽然不是新鲜概念,且可能会一定程度降低电池的能量密度,但在不得已的情况下仍值得一试。Al2O3是值得重视的物质,既可以涂覆在隔膜表面,也可以涂覆在正极和负极表面,添加到电解液中又何尝不可呢?




