石墨是目前锂离子电池主流的负极材料,石墨的嵌锂电势与金属Li接近,因此能够将锂离子电池高电压的优势发挥的淋漓尽致,但是这也带来了一个问题——电解液的不稳定,目前常规的碳酸酯类电解液在1.5V以下就会发生还原分解,例如电解液中常见的EC溶剂大约在1.2V(vsLi/Li+)左右开始分解,电解液的分解过程会消耗锂离子电池的活性Li,同时在负极表面生成一层惰性层,也就是我们常说的SEI膜。这一层惰性层的作用至关重要,首先因为这层惰性层的存在能够抑制电解液的进一步分解,其次这层惰性层还能够防止溶剂分子与Li+的共嵌入,因此电解液在负极表面形成的SEI膜对于锂离子电池的性能和循环寿命等都具有非常重要的影响。
为了形成质量更好的SEI膜我们通常会在电解液中添加适量的EC溶剂,同时还需要添加少量的成膜添加剂,例如VC(碳酸亚乙烯酯)就是最为常见的SEI膜成膜添加剂,近日法国亚眠大学的SylvieGrugeon(第一作者)和StephaneLaruelle(通讯作者)等人对VC添加剂在锂离子电池中的作用机理进行了深入的分析。
VC是最早采用的一种电解液添加剂,虽然人们对VC添加剂进行了较多的研究,但是仍然无法准确的掌握VC添加剂的具体反应机理,例如根据理论计算VC添加剂的分解电位为0.57-1.21V(与电解液体系有关),但是实际上VC添加剂会在更高的电位就开始分解,因此VC在锂离子电池中的作用机理还需要我们进一步的进行分析。
由于SEI膜的厚度较薄,并且SEI膜在空气中的反应活性比较高,因此直接分析在负极表面形成的SEI膜所得到的结果并不是十分可信,而通过模拟锂离子电池内部的化学反应,直接生成分解产物的方法是一种更为可靠的方法。在该试验中作者采用了两种促进VC分解的方法:液相还原剂分解法和固相还原剂分解法。
1.液相还原分解法
作者首先采用了液相还原分解法,以Li-DBB作为还原剂,以THF作为溶剂,加入不同数量的还原剂Li-DBB促使VC发生分解,反应产物经过清洗和处理后采用红外进行分析,测试结果如下图所示。从下图的测试结果来看,随着还原剂Li-DBB数量的增加,IR曲线中表征聚合VC的特征峰1818、1261、1171、1076、770和722cm-1的特征峰逐渐降低,同时我们还在1505、1432和876cm-1处观察到了Li2CO3的特征峰,1600-1670cm-1处的特征峰则为Li2C2O4/HCO2Li中的C=O键的特征峰,827cm-1处的特征峰为烷基碳酸锂的特征峰。

为了进一步分析VC分解的产物的成分,作者还采用了核磁共振技术对产物的成分进行了分析,从下面的分析结果能够看到当还原剂Li-DBB添加比例不同时,154和77ppm的聚合VC的特征峰与100和32ppm处的CH(OR)2和RCH2R’具有非常强的相关性,因此作者认为聚合VC的形成是以CH2CHO自由基作为中间产物形成的。同时171ppm处的特征峰也表明分解产物中存在Li2CO3,195ppm处的特征峰则表明分解产物中存在烷基碳酸锂,例如Li2C2O4、HCO2Li等。
2.固相还原分解

虽然采用液相还原的方法能够非常有效的促进VC的分解,但是分解产物即便是经过清洗仍然存在少量的溶剂THF,以及DBB等影响最终结果的杂质。因此作者采用金属Li作为还原剂,通过球磨的方法促进VC被金属Li还原,但是由于VC在金属Li表面还原产生的分解产物惰性很强,因此实际的产率仅为10%左右,远低于液相还原分解的效率,因此作者通过加大还原剂金属Li的用量(2.0和2.5)的方式促进VC的分解。
我们从下图在1814cm-1特征峰的变化能够看出,在刚反应完成时材料中仅有少量的聚合VC产物,但是在经过3h静置后产物中的聚合VC的浓度大幅度上升,这表明初期形成的SEI膜仍然能够允许VC添加剂在其表面发生进一步的分解。同时我们也在1485、1428、871cm-1等几处位置观察到了Li2CO3的特征峰。

密度函数理论计算显示VC分解产物可能包括不饱和双碳酸盐,例如Li亚乙烯酯碳酸盐LVD(=C-OCO2Li2)2、锂二乙烯酯二碳酸LDVD(-CH=CH-OCO2Li)2,如下表所示。从下表可以看到,LDVD产物与试验IR数据中的四个特征峰都符合的非常好,因此这也表明VC的分解产物中包含LDVD。

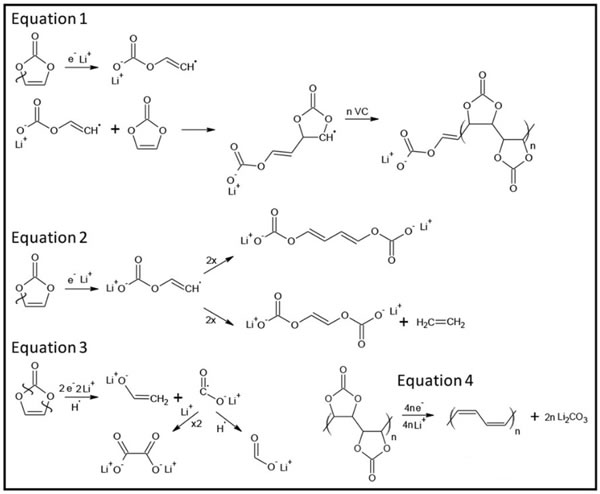
通过液相还原分解试验和固相还原分解试验发现,VC分解是首先得到一个电子,分子结构开环,形成一个自由基(如式1所示),在球磨混合试验中由于金属Li表面生成的SEI膜很好的抑制了VC与金属Li的金属,因此一旦球磨停止后,VC将不能与金属Li接触,因此反应产生的自由基就会与参与的VC继续发生反应,生成聚合VC产物,这就解释了为什么球磨后静置过程中聚合VC会出现上升。
此外作者还发现VC的分解过程与选择的分解方式有很大的关系,例如在固相还原分解中VC更加倾向于发生下式2所示的单电子反应,C羧基-O发生断裂,而在液相还原分解中则更倾向于发生下式3所示的双电子反应,C醚键-O发生断裂。

3.石墨负极验证
为了验证VC在石墨负极表面的分解,作者采用石墨/Li扣式电池进行了验证,电解液分解采用100%VC,EC-DMC-EMC(1:1:1)添加或不添加2%VC三种电解液,石墨负极在这三种电解液形成的SEI膜的IR图如下图所示。
从下图可以看到1400-1500和870cm-1处的特征峰为Li2CO3,而在1750-1850和760cm-1处的特征峰为聚合VC,1600和825cm-1的特征峰为烷基碳酸锂,在900-1200cm-1处的特征峰可以判定为LDVD产物。

VC在石墨负极表面分解产生的产物主要是Li2CO3和LDVD等,但是由于石墨负极嵌锂过程中会产生体积膨胀,导致SEI膜破坏,裸露出的新鲜负极会促进残余的VC与VC分解产生的自由基发生聚合反应,从而在SEI膜破坏处生成聚合VC,导致电池的阻抗增加,因此在实际电解液中添加的VC不易过多。




