在漫威的《复仇者联盟4》中各路英雄通过穿越时空救回了被灭霸一个响指带走的一半生灵,完成了一次不可能任务,在锂离子电池中我们也面临同样的任务——如何让废弃锂离子电池中的活性物质“复活”。随着电动汽车的保有量不断提升,淘汰汽车的废旧锂离子电池回收再利用问题也变的越来越紧迫,常规的回收策略是首先对锂离子电池进行筛选,性能较好的电池进行梯次利用,而性能较差的电池则进行拆解,回收其中的有价金属元素,特别是三元正极材料中的Li、Ni、Co等元素,在这一回收过程中往往会产生废水、废渣,同时这一方法对于价值较低的LFP类材料往往因缺乏经济价值而难以回收。
实际上锂离子电池在寿命末期,容量损失往往主要来自于活性Li的损失,以及正极材料表面晶体结构的衰变,而正极材料体相结构并为发生显著的改变,这就为我们“复活”正极材料提供了可能性。近日,美国加州大学圣迭戈分校的YangShi(第一作者)和ZhengChen(通讯作者)等人通过低温熔盐法使得容量衰降50%的NCM523材料浴火重生,检测表明该方法不但使得材料的可逆容量得到了完全恢复,还使得循环过程中材料表面生成的岩盐结构恢复成为层状结构。
实验中为了加剧材料的衰降,作者将软包NCM523电池在3-4.5V电压范围内进行循环,充放电倍率为1C,因此该电池在仅仅经过400次循环后可逆容量就衰降了48%,而正极材料的活性Li损失则达到了40%,也就是说大部分的容量损失都来自于活性Li的损失。
LiNO3和LiOH是一种常见的低温熔盐,特别是LiNO3和LiOH的比例为3:2时,混合熔盐的熔点仅为175℃,因此在这里作者也是采用了LiNO3和LiOH混合熔盐作为Li源,将混合熔盐加热到300℃,并保持2-4小时,以让Li充分嵌入到NCM523材料之中,完成NCM523材料的“复活”。

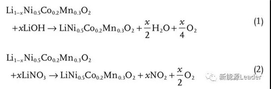
下图为NCM523与混合熔盐的DSG曲线,其中100℃的吸热峰是材料中的吸附水蒸发,在176℃左右的吸热峰是混合熔盐的融化,而在250℃左右的放热峰和250-350℃范围内的减重,则主要是材料的产气,主要是由于Li重新嵌入到NCM523材料中伴随着O2、H2O和NO2等气体的产生(如下式所示)。



从上面的热重分析不难看出,NCM523材料在250℃以上开始发生嵌锂反应,因此作者选择了在300℃下对衰降后的NCM523材料嵌锂。在熔盐中完成嵌锂后,作者又对材料进行了焙烧处理,以进一步稳定材料的晶体结构。下表为新NCM523材料、衰降后NCM523材料,熔盐嵌锂2h、4h后NCM523材料(MS-2h、MS-4h)和熔盐嵌锂后再进行焙烧的NCM523材料(MS-SA2h、MS-SA4h)的成分。从表中能够看到衰降后的NCM523材料损失了40%左右的Li,这也再次表明了活性Li的损失是引起NCM523材料衰降的主要原因,而经过熔盐嵌锂后NCM523材料中的Li含量基本上得到了完全的恢复。而经过焙烧后NCM523材料中的Li含量基本上恢复到了与新材料同样的水平。

作者通过高分辨率透射电镜对衰降后的NCM523(下图a)和再生NCM523(下图b)材料的晶体结构进行了分析,从下图c中能够看到在衰降后的NCM523材料颗粒的表面位置我们能够发现岩盐结构相,而在体相中则仍为层状结构(下图d)。而经过再生后的NCM523材料,材料颗粒表面的岩盐结构相消失了,我们仅能够在其表面观察到层状结构(下图e),这表明在再生的过程中NCM523材料颗粒表面的岩盐结构相已经完全转变为层状结构。

为了分析NCM523材料中过渡金属元素的价态,作者采用电子能量损失谱法(EELS)对衰降NCM523(下图a)和再生NCM523(下图b)材料进行了分析,从下图c可以看到再生后的NCM523材料中的Li浓度相比于衰降后的NCM523材料要高的多,表明再生后的NCM523材料中的Li浓度有了很大的提升,这与前面的测试结果是一致的。通过OK-edge图能够看到衰降NCM523材料中表层过渡金属元素3d和4sp轨道和体相中过渡金属元素之间有着明显的区别,这是由于材料表面生成了岩盐结构相所致。而再生NCM523材料的表层与材料体相之间没有显著的区别。

下图为再生NCM523材料和新NCM523材料的循环性能曲线(3.0-4.3V,1C充放电),从下图能够看到虽然衰降后的NCM523材料损失了40%的活性Li,但是经过再生后能够完全恢复性能,其中MS-SA4h材料1C首次放电容量达到149.3mAh/g(新材料为146.6mAh/g),循环100次后为134.6mAh/g(新材料为130.4mAh/g),甚至要略好于新材料,在倍率性能上MS-SA4h材料的性能也要略好于新材料。

YangShi的工作表明NCM523电池循环过程中容量的损失主要来自于活性Li的损失,因此可以通过对其进行再嵌Li的方式恢复其性能。再生后的NCM523材料不仅完全恢复了其可逆容量,再生过程也使得材料颗粒表面再循环过程中形成岩盐结构层转变为层状结构,从而使得再生材料无论是容量、循环,还是倍率性能都能够与新材料媲美。




