基于无机固态电解质的全固态锂电池由于其高安全性和高能量密度被认为是较为先进的储能系统。然而,此类电池在可逆比容量,循环稳定性和倍率性能等方面仍面临重大挑战。这主要是由于电极材料和固态电解质之间的界面离子及电子传输速率较低而导致。虽然许多基于硫化物固态电解质具有与液态电解质可比拟的锂离子传输,但与电极材料接触时,界面离子导电率要低好几个数量级。因此,开发具有与电解质相容的正极材料以实现具有高锂离子传输的电极/电解质界面,是改善全固态锂电池性能的关键策略之一。
近日,加拿大西安大略大学孙学良教授课题组基于先前工作中具有高电子电导率的硒在全固态电池中的应用(EnergyEnviron.Sci.,2018,11,2828-2832),首次报道了将硒引入到硫中形成具有Se8-nSn八元环结构的SeSx固溶体正极材料在全固态锂电池中的应用。基于固溶体原理,SeSx固溶体材料的电子电导率可以通过固溶体中Se和S的不同比例来调节。交流阻抗谱测试表明,正极复合材料中,SeSx-Li3PS4(x=3,2,1,和0.33)在室温下具有10-6S/cm的界面离子电导率。因此,SeSx固溶体正极材料在全固态锂电池中具有较好的循环稳定性及可逆比容量,组装的全固态Li-SeS2电池能够达到12.6mAh/cm2的面容量。相关研究成果以“High‐PerformanceLi–SeSxAll‐Solid‐StateLithiumBatteries”为题发表在国际顶级期刊Adv.Mater.上。
【核心内容】

图1.(a)S8,(b)Se2S6八元环的电子态密度分布。(c)Se2S6八元环的不同位置断键及锂化的DFT计算。橘黄色、黄色、紫色分别为Se,S,Li。(d)商业Se,S单质及合成的SeS2的XRD谱图。(e)Se2.57S5.43的结构。(f)合成的Se2S6,SeS2,Se4S4,Se6S2的Raman谱图。
第一性原理计算表明,1)在Se8-nSn八元环中的S原子相比于S8八元环中的S原子可以得到更多的电子态密度,因此使得SeSx固溶体材料具有一定程度的电子导电性;2)Se8-nSn八元环共有30中可能的原子排列,并在SeSx固溶体中共存,且部分含有Se-Se键的Se8-nSn八元环具有较低的能量,表明Se原子在Se8-nSn八元环中优先聚集;3)SeSx固溶体中S-S,S-Se,Se-Se键的断裂及锂化能量不同,表明可能对应于多步骤的锂化过程;4)部分Se8-nSn八元环比Se8八元环和S8八元环具有较低的能量,表明重新去锂化过程中这些Se8-nSn八元环再次形成的可能性。

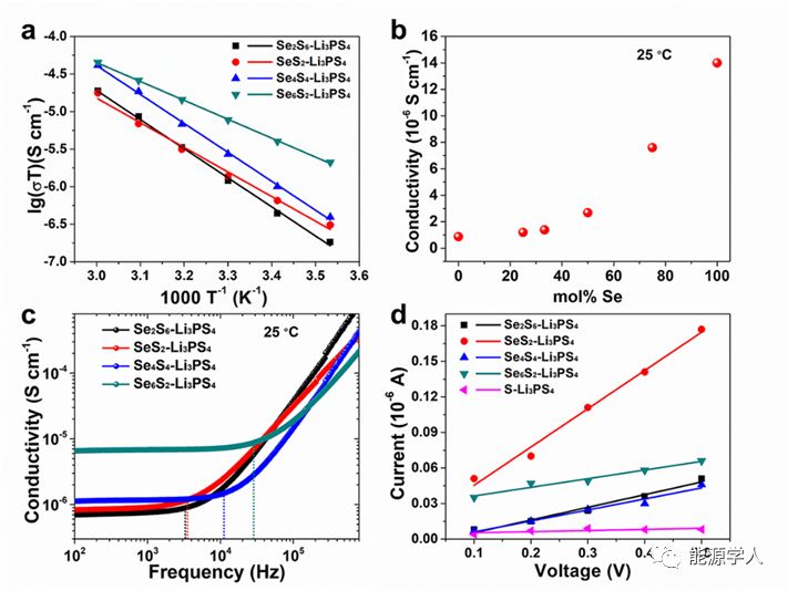
图2.(a)SeSx-LPS复合材料的阿伦尼乌斯离子电导率。(b)室温下,SeSx-LPS复合材料的离子电导率随Se含量的变化。(c)室温下,SeSx-LPS复合材料在阻抗测试中的实部变化。(d)室温下,SeSx-LPS复合材料在不同电压下的电流响应。
交流阻抗测试表明,所制备的SeSx固溶体与商业Li3PS4(LPS)混合后的SeSx-LPS具有10-6S/cm的离子电导率,并随SeSx固溶体中Se含量的增加而增加;直流偏压测试结果表明,SeSx-LPS复合材料的电子导电率高于相同比例的S-LPS,其中SeS2-LPS的电子导电率最高。

图3.SeSx-LPS-C正极材料在25℃下的电化学性能。(a-d)50mA/g电流密度下,SeSx-LPS-C正极材料的充放电曲线,(e-g)50mA/g电流密度下,SeSx-LPS-C正极材料的循环性能及库伦效率。
25℃下的SeSx-LPS-C正极材料的充放电曲线仅表现较为明显的单一的充放电平台,而并没有表现出理论计算预测的三个不同锂化过程,可能是由于迟滞的电化学反应动力因素而导致。

图4.SeSx-LPS-C正极材料在60℃下的电化学性能。(a-d)30mA/g电流密度下,相应的GITT曲线,(e)400mA/g电流密度下,相应的循环性能,(f)不同电流密度下的倍率性能。
60℃下的SeSx-LPS-C正极材料的展现出明显的三个放电平台,与理论计算结果一致。同时,SeSx-LPS-C正极材料表现出优异的循环稳定性及倍率性能。

图5.SeS2-LPS-C正极材料在60℃下的不同负载量的电化学性能。SeS2活性组分负载量分别为(a)10.2和(b)15.3mg/cm2的充放电曲线,(c)SeS2活性组分负载量为15.3mg/cm2的循环性能,(d)本工作与其他文献报道的全固态锂硫(硒)电池性能比较。
60℃下,即使SeS2活性组分负载量为10.2,15.3mg/cm2,组装的SeS2-LPS-C/LGPS-LPS/Li全固态电池仍的展现出明显的三个放电平台,且面比容量能达到12.6mAh/cm2,远高于文献报道。




