动力电池行业在2018年发生的翻天覆地的变化,感受最深的就是三天两头就能看到有电动车量起火燃烧甚至爆炸,刚开始令人触目惊心,后来不知怎么看到后就当成娱乐新闻了。难道这就是所谓的债多了不愁,虱子多了不痒?
2019年第一篇打算和大家一起学习下关于锂离子电池的安全性方面的文章,重点讲的是电池内部的反应热来源和产生原因,以及电池在加热,过充,短路状态下发生爆炸的机理。
(来源:微信公众号“新能源电池圈”ID:kylesay作者:寻风)
1,锂离子电池的反应热来源分析
当电池正常使用以及被滥用的过程中电池内部会发生一些列的电化学反应,涉及到正极,负极,电解液,隔膜,当内部反应热累积到一定程度的时候就会有起火爆炸的危险。反应热的来源主要有以下几个方面。
1.1,SEI的分解反应
SEI是负极和电解液之间的一层钝化膜阻止负极和电解液之间的进一步反应,但是当温度升高到一定程度时就开始分解(实际上SEI分为两层-稳定层和亚稳定层)亚稳定层在80-120℃开始分解为稳定层,反应过程为放热。随着负极比表面的增加SEI增加,分解反应的放热量也会增加。
1.2,嵌锂碳和溶剂之间的反应
当温度升高时,SEI膜不能保护负极的情况下溶剂会和金属锂发生反应:

1.3,嵌锂碳和PVDF粘结剂的反应(油性负极)
有研究表明,当电池内部温度超过260℃时LixC6会和PVDF发生如下反应:

反应的焓变随着x值和碳负极的比表面的增加而增加,指出LiC6与PVDF的反应起始温度在240℃,290℃出现放热峰,在350℃完全反应,放热量为1500J/g。

由上表可得出以下结论:
第一是负极表面主要存在3种放热反应
(1)SEI膜的分解反应
(2)LixC6与溶剂的反应
(3)LixC6与粘结剂的反应。
SEI膜的分解和LiXC6与溶剂反应有时同时进行,有人把这两种反应都认为是LixC6与溶剂的反应。
第二,SEI膜的分解反应一般在100℃左右,放热量很低,以此热量来加热电池,仅会使其升高几度不会带来危险。
第三,LixC6与溶剂反应的起始温度和放热量与x值、锂盐、溶剂有关,并且反应热比较大在某种情况下可能是电池失控的主要原因。
第四,尽管粘结剂与LixC6的放热量比较大,由于粘结剂在负极所占的比例有限,不会成为电池爆炸的主要原因。
1.4,电解液的分解反应
电解液的热分解反应主要是在温度升高时溶剂和锂盐的反应,如DEC比DMC更容易和LiPF6、LiClO4发生放热反应,反应温度基本在230-310℃之间,当体系中有少量水分存在的情况下反应温度开始提前。锂盐LiF6的热稳定性最差在170-330℃之间,有5个放热反应,最主要的是LiF6的分解反应,在220℃时彻底分解。
另外当锂离子电池充电电压超过电解液的分解电压时,电解液也会分解放出热量,产生气体。下表列出了不同电解液的分解电位:

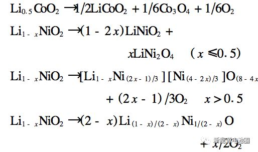
1.5,正极的分解反应
常见的正极材料在温度低于650℃时是稳定的,在充电时处于亚稳定状态,温度升高时发生如下反应。

放出的氧气会使溶剂氧化:

正极是直接与电解液反应还是放出氧气后发生反应有确切的说法吗?常见正极材料的DSC测试结果:
对正极材料热稳定性分析可得出以下几点结论:
第一,正极材料与溶剂的反应机理有待深入研究;
第二,正极的分解反应及其与电解液的反应放热量比较大,在大多数情况下是造成电池爆炸的主要原因;
第三,采用三元或LFP正极材料相对LCO可以提高电池的安全性。
1.6,锂金属的反应
这里主要指的是锂析出锂枝晶,一般情况下金属锂的稳定性不如嵌锂碳。当锂离子电池过充时,锂金属沉积在负极表面,就可能发生金属锂与电解液的反应,大部分反应的起始温度在锂金属的熔点180°C左右。
1.7,正负极活性物质的焓变
锂离子电池充放电时,锂嵌入到正极材料中的焓发生改变。以LiCoO2为正极材料的AA电池为例,以36mA进行充放电,热量的吸收和放出虽然低于10mW,但是并不是低到忽略不记的程度。例如尖晶石LixMn2O4的产热特性,在充电速率<1C充电时,热量的产生与扩散呈现可逆性;超过1C时则不可逆(欧姆电阻和极化电阻占主导地位)。
1.8,电流通过内阻产生热量
由公式Q=I2RT可知内阻产生的热量,当电池外部短路时电池内阻产热占主导地位。
2,锂离子电池的爆炸机理
锂离子电池爆炸的因素很多,但其主要的原因是电池内部的高温、高压都与产热因素有直接的关系。电池内部的产热因素众多,如果锂离子电池内部的热生成速率大于热散失速率,则体系内的反应温度就会不断上升,其结果可能造成两种极端情况:
(1)反应物质的温度达到其着火温度而发生火灾;
(2)由于锂离子电池是一个封闭体系,随体系内部温度升高,反应速度加快,反应物蒸气压急剧上升。同时活性物质的分解活性物质与电解液的反应都会产生一定量的气体,其结果是在缺少安全阀保护或安全阀失效的情况下,电池内压便会急剧上升而引起电池爆炸。
常见的爆炸类型有以下几种:
2.1,热冲击爆炸
以LCO电池为例,将其放入165℃环境中保持45min发生爆炸,隔膜溶解(PE的熔点是125°C,PP的熔点是155°C)电压迅速降至0V电池表面温度升高到200℃以上,电池的爆炸是由于溶剂的分解、LiCoO2分解、LiCoO2与电解液的反应产生大量的热与气体造成的。
2.2,过充爆炸
锂离子电池过充时的电压-温度模式有3种形式:
(1)当充电电压超过4.5V,大量的锂离子从正极溢出。若负极的嵌锂能力很差,锂离子便会沉积在负极表面形成枝晶使电池内部短路,电池的安全性明显降低;
(2)若负极的嵌锂能力比较强,随着锂离子从正极溢出溶剂被氧化(远远大于正常情况下的反应速度),产生大量的热使电池温度升高,接着溶剂与负极的反应同时发生放出更多的热。若充电电流很低,电池的热稳定性好热量生成速率与散热速率达到平衡,电解液分解的产物增大电池的内阻,或隔膜关闭,电压先升高燃后保持恒定,热量不会失控;
(3)若充电电流很大,电池的稳定性还很差,电压、温度迅速升高,电池就会着火爆炸。
例如锂离子电池充电到标准电量的160%时,热量急剧增加,可能是由于电解液的分解、正极的分解反应产生大量的热引起的,如果在电池内部加入散热装置来平衡热量的释放,电池的爆炸将会避免。
2.3,短路爆炸
分为外部短路和内部短路:正负极耳的直接接触;装配过程中出现的毛刺,隔膜皱褶以及粉尘均可引发内部短路,短路也可能引起电池的爆炸。
电池短路时,电流通过电池的瞬间产生大量的热,加热电池,使电池温度升高的热分解温度导致电池爆炸。与加热最大的区别是加热产热速率比较缓慢,各个反应依次进行,而短路状态下,正极的热分解反应可能发生在负极与溶剂反应之前。
2.4,其他情况
针刺:针刺造成的锂离子电池爆炸原理与短路大致相同,针刺速度很快时针刺的部位产生大量的热,使电池内部温度升高到正极热分解的温度,正极分解导致电池爆炸。
撞击:当锂离子电池受到撞击时,电极上过电压损失产生热量,促使溶剂与负极的反应,放出的热量进一步加热电池使正极热分解,导致电池爆炸。
过放:锂离子电池过放到1.0-2.0V时,部分电解液发生还原放出少量的热。电压达到0.7V后,金属铜开始氧化井沉积在正极上,电池内部短路,电压迅速降为0V,锂离子电池变为Cu负极Cu正极电池胆电池表面温度升高不明显而不会发生危险。
3,防止锂离子电池爆炸的措施
3.1,提高电池材料的热稳定性
正极材料可以通过优化合成条件,改进合成方法,合成热稳定性好的材料;或使用复合技术(如掺杂技术)、表面包覆技术(如涂层技术)来改善正极材料的热稳定性。
负极材料的热稳定性与负极材料的种类、材料颗粒的大小以及负极所形成的SEI膜的稳定性有关。如将大小颗粒按一定配比制成负极即可达到扩大颗粒之间接触面积,降低电极阻抗,增加电极容量,减小活性金属锂析出可能性的目的。
SEI膜形成的质量直接影响锂离子电池的充放电性能与安全性,将碳材料表面弱氧化,或经还原,掺杂,表面改性的碳材料以及使用球形或纤维状的碳材料有助于SEI膜质量的提高。
电解液的稳定性与锂盐、溶剂的种类有关。采用热稳定性好的锂盐,电位稳定窗口宽的溶剂可以提高电池的热稳定性。在电解液中添加一些高沸点、高闪点和不易燃的溶剂可以改善电池的安全性。
导电剂与粘结剂的种类与数量也影响着电池的热稳定性,粘结剂与锂在高温下反应产生大量的热,不同粘结剂发热量不同,PVDF的发热量几乎是无氟粘结剂的2倍,用无氟粘结剂代替PVDF可以提高电池的热稳定性。
3.2,提高电池过充保护能力
为防止锂离子电池过充,通常采用专用的充电电路来控制电池的充放电过程,或者在单个电池上安装安全阀以提供更大程度的过充保护;其次也可采用正温度系数电阻器(PTC),其作用机理为当电池因过充而升温时,增大电池的内阻,从而限制过充电流;还可采用专用的隔膜,当电池发生异常引起隔膜温度过高时,隔膜孔隙收缩闭塞,阻止锂离子的迁移,防止电池的过充。
3.3,防止电池的短路
对于隔膜而言而言,孔率为40%左右,且分布均匀,孔径为10nm的隔膜能阻止正负极小颗粒运动,从而提高锂离子电池的安全性;
隔膜的绝缘电压与其防止正负极的接触有着直接的关系,隔膜的绝缘电压依赖于隔膜的材质、结构以及电池的装配条件;
采用热闭合温度和熔融温度差值比较大的复合隔膜(如PP/PE/PP)可防止电池热失控。将隔膜表面涂覆陶瓷层提高隔膜耐温性。利用低熔点的PE(125℃)在温度较低的条件下起到闭孔作用,PP(155℃)又能保持隔膜的形状和机械强度,防止正负极接触,保证电池的安全性。
大家都知道以石墨负极替代金属锂负极,从而使充放电过程中锂在负极表面的沉积和溶解变为锂在碳颗粒中的嵌入和脱出,防止了锂枝晶的形成。但这并不代表锂离子电池的安全性已经解决,在锂离子电池充电过程中,如果正极容量过多,就会出现金属锂在负极表面沉积,负极容量过多,电池容量损失较严重。
涂布厚度及其均一性也影响锂离子在活性物质中的嵌入和脱出。例如负极面密度较厚不均一,因此充电过程中各处极化大小不同,就有可能发生金属锂在负极表面局部沉积。
此外,使用条件不当也会引起电池的短路,低温条件下,由于锂离子的沉积速度大于嵌入速度,从而导致金属锂沉积在电极表面引起短路。因此,控制好正负极材料的比例,增强涂布的均匀性等是防止锂枝晶形成的关键。
此外,粘结剂的晶化、铜枝晶的形成也会造成电池内部短路。在涂布工艺中,通过涂布烘烤加热将浆料中溶剂全部除去,若加热温度过高,则粘结剂也有可能发生晶化,会使活性物质剥落,使电池内部短路。
在过放条件下,当电池过放至1-2V时,作为负极集电体的铜箔将开始溶解,并于正极上析出,小于1V时正极表面则开始出现铜枝晶,使锂离子电池内部短路。




