超级电容器由于其功能密度高、循环寿命长、充放电速度快、对环境无污染等优点,被广泛应用于电动汽车、传感器、电脑存储器备用电源(UPS)、风力发电和太阳能发电等诸多领域。根据不同的储能机理,超级电容器可分为双电层电容器(EDLC)和法拉第准电容器(赝电容器)两大类。深入理解超级电容器的电荷存储机制对进一步提升超级电容器的性能至关重要。
本文来源:中科院兰州化物所微信号ID:LICP_CAS
中国科学院兰州化学物理研究所清洁能源化学与材料实验室阎兴斌研究员团队一直致力于超级电容器的基础和应用基础研究。2017年,该团队在NatureCommunications上发表了关于EDLC在离子液体电解液中储能机理的文章,该工作为研究EDLC中离子液体阴阳离子各自的储能行为提供了新的策略(2017,8,2188.DOI:10.1038/s41467-017-02152-5)。近期,该团队与以色列Bar-Ilan大学和中国科学技术大学合作,在赝电容储能机制研究方面又取得了新进展。
二维的阳离子嵌入型由于其独特的二维结构而具有优异的电化学性能。研究人员利用电化学-原位拉曼、电化学-离散型石英晶体微天平(electrochemicalquartzcrystalmicrobalancewithdissipationmonitoring,EQCM-D)和密度泛函理论(DFT)深入探究了二维阳离子嵌入型氧化锰(Na0.55Mn2O4.1.5H2O,简称NMO)在中性Na2SO4电解液和碱性NaOH溶液中的储能机理。
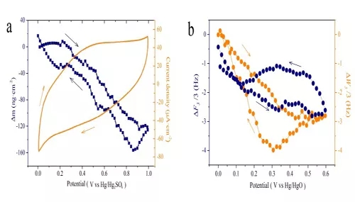
原位拉曼的实验结果表明:在充电过程中,NMO在中性电解液中会有一个从单斜相向更加有序的六方相转变的过程。相比于在碱性电解液中的变化而言,NMO的层间距在中性电解液中也会明显变宽。在碱性电解液中的高电压区观察到了高价锰的生成(图1)。以上现象说明NMO在Na2SO4电解质中主要是钠离子参与的储能行为,而在NaOH电解液中NMO则主要发生了氧化还原反应。同时,DFT计算出了钠离子在NMO体系中的稳定吸附位点,这对深入理解拉曼光谱非常有利。EQCM-D的实验结果表明:NMO在中性电解液中的充放电过程基本无形变,可根据Sauerbrey方程计算质量变化;而NMO在碱性电解中会发生明显形变,可根据共振峰宽的变化对其形变进行定性分析(图2)。综上,NMO在中性Na2SO4电解质中,在低电势区(0-0.8V)主要表现为表面控制的赝电容行为,但当电势大于0.8V时,插层赝电容行为则开始占主导地位。相比之下,在碱性电解液中,NMO则会发生明显的氧化还原反应,为类电池行为。该研究验证了NMO的电荷储存机理很大程度上取决于电解液的类型,甚至在相同的电解液中不同的电压区间储能机理也不同。
该研究工作近期在线发表在AdvancedEnergyMaterials(2018,1802707.DOI:10.1002/aenm.201802707)。该工作得到了国家自然科学基金和兰州化物所“一三五”规划重点培育项目的资助和支持。

NMO在硫酸钠和氢氧化钠电解图1:液中的原位拉曼光谱及相应的CV曲线以及峰强度随电压变化的曲线

图2a:在中性电解液中NMO电极质量的变化及相应的CV曲线。b:在碱性电解液中NMO的共振频率变化和共振峰宽变化。




