在半导体中,电子的能带结构决定了电子允许和被禁止的能量范围,并决定了半导体材料的电学及光学性质。孤立原子的电子占据一定的原子轨道,形成一系列分立的能级。
石墨烯的晶格结构非常稳定,电子在轨道中移动所受到的干扰非常小,具有优秀的导电性能。这种结构导致石墨烯独特的电子能带结构,如图1(b)所示,第一布里渊区的六个顶点为费米点(也称为狄拉克点或K点),导带和价带关于狄拉克点对称,因此在纯净的石墨烯中,电子和空穴具有相同的性质。即在狄拉克点附近,电子的能量与波矢成线性的色散关系,E=VFP=VFhk。其中,VF为费米速度,大约为光速的1/300,k为波矢。因此,K点附近电子由于受到周围对称晶格势场的作用,载流子的有效静质量为0,费米速度接近于光速,呈现相对论的特性。所以K点附近的电子性质应该用狄拉克方程(Dirac)进行描述,而不是用薛定谔方程(Schrodinger)进行描绘。石墨烯的载流子的迁移率超过200,000cm2*V-1*s-1,纯净的石墨烯中电子的平均自由程达亚微米量级,近似为弹道运输,这在制造高速器件上有着诱人的潜力。

图1(a)石墨烯晶体结构示意图;(b)石墨烯的三维能带结构;(c)石墨烯在布里渊区的高对称性及二维能带结构
(d)狄拉克点附近的能带结构和费米面随掺杂移动示意图
石墨烯中的碳外层包括4个电子,3个s电子(轨道在石墨烯平面内),和一个p电子(π电子,轨道垂直于石墨烯平面),石墨烯的能带结构可以用紧束缚的Hamilton方程近似描述,在紧束缚的条件下,π带的色散关系为:

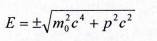
其中,±1分别对应导带和价带,kx和ky是波矢k的分量,r0是近邻碳原子之间的跃迁能,通常取值为2.9-3.1eV,a=sqrt(3)ace,ace=1.42A是碳原子之间的距离。由于每个碳原子贡献一个π电子,石墨烯的价带刚好填满,而导带全空。如此费米面刚好处于导带和价带的相交点,从而石墨烯就有一个不同于通常半导体的奇异特性,即其实零带隙的材料。又由于石墨烯在交点K附近有线性的色散关系,π电子的能量和动量是线性相关的,根据克莱因-高登方程得到相对论的粒子的能量本征值为:

其中m0是有效质量,并且移动速度恒定,非常类似于光子。所以p电子适用于相对论的Dirac方程,而不适用于Schrodinger方程。p电子表现为无质量的Dirac费米子,导带和价带的交点被称为Dirac点。这种独特的结构使得石墨烯表现出异常的半整数量子霍尔效应,其霍尔点到为量子电导的奇数倍;当载流子趋于零时仍然具有-4e2/h的最小电导率;电子的运动速度约为光速的1/300,是已知材料中最高的传输速度。




